Chapter 17 Lipids

Opening Essay

On July 11, 2003, the Food and Drug Administration amended its food labeling regulations to require that manufacturers list the amount of trans fatty acids on Nutrition Facts labels of foods and dietary supplements, effective January 1, 2006. This amendment was a response to published studies demonstrating a link between the consumption of trans fatty acids and an increased risk of heart disease. Trans fatty acids are produced in the conversion of liquid oils to solid fats, as in the creation of many commercial margarines and shortenings. They have been shown to increase the levels of low-density lipoproteins (LDLs)—complexes that are often referred to as bad cholesterol—in the blood. In this chapter, you will learn about fatty acids and what is meant by a trans fatty acid, as well as the difference between fats and oils. You will also learn what cholesterol is and why it is an important molecule in the human body.

All food products must display the amount of trans fatty acids they contain. A listing of 0 g means that a serving contains less than 0.5 g of trans fatty acids.

Fats and oils, found in many of the foods we eat, belong to a class of biomolecules known as lipids. Gram for gram, they pack more than twice the caloric content of carbohydrates: the oxidation of fats and oils supplies about 9 kcal of energy for every gram oxidized, whereas the oxidation of carbohydrates supplies only 4 kcal/g. Although the high caloric content of fats may be bad news for the dieter, it says something about the efficiency of nature’s designs. Our bodies use carbohydrates, primarily in the form of glucose, for our immediate energy needs. Our capacity for storing carbohydrates for later use is limited to tucking away a bit of glycogen in the liver or in muscle tissue. We store our reserve energy in lipid form, which requires far less space than the same amount of energy stored in carbohydrate form.

Lipids have other biological functions besides energy storage. They are a major component of the membranes of the 10 trillion cells in our bodies. They serve as protective padding and insulation for vital organs. Furthermore, without lipids in our diets, we would be deficient in the fat-soluble vitamins A, D, E, and K.

Lipids are not defined by the presence of specific functional groups, as carbohydrates are, but by a physical property—solubility. Compounds isolated from body tissues are classified as lipidsA compound isolated from body tissues that is more soluble in organic solvents than in water. if they are more soluble in organic solvents, such as dichloromethane, than in water. By this criterion, the lipid category includes not only fats and oils, which are esters of the trihydroxy alcohol glycerol and fatty acids, but also compounds that incorporate functional groups derived from phosphoric acid, carbohydrates, or amino alcohols, as well as steroid compounds such as cholesterol. (Figure 17.1 "Lipid Organization Based on Structural Relationships" presents one scheme for classifying the various kinds of lipids.) We will discuss the various kinds of lipids by considering one subclass at a time and pointing out structural similarities and differences as we go.

Figure 17.1 Lipid Organization Based on Structural Relationships

17.1 Fatty Acids

Learning Objective

  1. Recognize the structures of common fatty acids and classify them as saturated, monounsaturated, or polyunsaturated.

Fatty acidsA carboxylic acid that is a structural component of fats and oils. are carboxylic acids that are structural components of fats, oils, and all other categories of lipids, except steroids. More than 70 have been identified in nature. They usually contain an even number of carbon atoms (typically 12–20), are generally unbranched, and can be classified by the presence and number of carbon-to-carbon double bonds. Thus, saturated fatty acidsA fatty acid that has no carbon-to-carbon double bonds. contain no carbon-to-carbon double bonds, monounsaturated fatty acidsA fatty acid that has one carbon-to-carbon double bond. contain one carbon-to-carbon double bond, and polyunsaturated fatty acidsA fatty acid that has two or more carbon-to-carbon double bonds. contain two or more carbon-to-carbon double bonds. Table 17.1 "Some Common Fatty Acids Found in Natural Fats" lists some common fatty acids and one important source for each. The atoms or groups around the double bonds in unsaturated fatty acids can be arranged in either the cis or trans isomeric form. Naturally occurring fatty acids are generally in the cis configuration. (For more information about cis-trans isomerism, see Chapter 13 "Unsaturated and Aromatic Hydrocarbons", Section 13.2 "Cis-Trans Isomers (Geometric Isomers)".)

Table 17.1 Some Common Fatty Acids Found in Natural Fats

Name Abbreviated Structural Formula Condensed Structural Formula Melting Point (°C) Source
lauric acid C11H23COOH CH3(CH2)10COOH 44 palm kernel oil
myristic acid C13H27COOH CH3(CH2)12COOH 58 oil of nutmeg
palmitic acid C15H31COOH CH3(CH2)14COOH 63 palm oil
palmitoleic acid C15H29COOH CH3(CH2)5CH=CH(CH2)7COOH 0.5 macadamia oil
stearic acid C17H35COOH CH3(CH2)16COOH 70 cocoa butter
oleic acid C17H33COOH CH3(CH2)7CH=CH(CH2)7COOH 16 olive oil
linoleic acid C17H31COOH CH3(CH2)3(CH2CH=CH)2(CH2)7COOH −5 canola oil
α-linolenic acid C17H29COOH CH3(CH2CH=CH)3(CH2)7COOH −11 flaxseed
arachidonic acid C19H31COOH CH3(CH2)4(CH2CH=CH)4(CH2)2COOH −50 liver

Two polyunsaturated fatty acids—linoleic and α-linolenic acids—are termed essential fatty acidsA fatty acid that must be obtained from the diet because it cannot be synthesized by the human body. because humans must obtain them from their diets. Both substances are required for normal growth and development, but the human body does not synthesize them. The body uses linoleic acid to synthesize many of the other unsaturated fatty acids, such as arachidonic acid, a precursor for the synthesis of prostaglandins. In addition, the essential fatty acids are necessary for the efficient transport and metabolism of cholesterol. The average daily diet should contain about 4–6 g of the essential fatty acids.

To Your Health: Prostaglandins

Prostaglandins are chemical messengers synthesized in the cells in which their physiological activity is expressed. They are unsaturated fatty acids containing 20 carbon atoms and are synthesized from arachidonic acid—a polyunsaturated fatty acid—when needed by a particular cell. They are called prostaglandins because they were originally isolated from semen found in the prostate gland. It is now known that they are synthesized in nearly all mammalian tissues and affect almost all organs in the body. The five major classes of prostaglandins are designated as PGA, PGB, PGE, PGF, and PGI. Subscripts are attached at the end of these abbreviations to denote the number of double bonds outside the five-carbon ring in a given prostaglandin.

The prostaglandins are among the most potent biological substances known. Slight structural differences give them highly distinct biological effects; however, all prostaglandins exhibit some ability to induce smooth muscle contraction, lower blood pressure, and contribute to the inflammatory response. Aspirin and other nonsteroidal anti-inflammatory agents, such as ibuprofen, obstruct the synthesis of prostaglandins by inhibiting cyclooxygenase, the enzyme needed for the initial step in the conversion of arachidonic acid to prostaglandins.

Their wide range of physiological activity has led to the synthesis of hundreds of prostaglandins and their analogs. Derivatives of PGE2 are now used in the United States to induce labor. Other prostaglandins have been employed clinically to lower or increase blood pressure, inhibit stomach secretions, relieve nasal congestion, relieve asthma, and prevent the formation of blood clots, which are associated with heart attacks and strokes.

Although we often draw the carbon atoms in a straight line, they actually have more of a zigzag configuration (part (a) of Figure 17.2 "The Structure of Saturated Fatty Acids"). Viewed as a whole, however, the saturated fatty acid molecule is relatively straight (part (b) of Figure 17.2 "The Structure of Saturated Fatty Acids"). Such molecules pack closely together into a crystal lattice, maximizing the strength of dispersion forces and causing fatty acids and the fats derived from them to have relatively high melting points. In contrast, each cis carbon-to-carbon double bond in an unsaturated fatty acid produces a pronounced bend in the molecule, so that these molecules do not stack neatly. As a result, the intermolecular attractions of unsaturated fatty acids (and unsaturated fats) are weaker, causing these substances to have lower melting points. Most are liquids at room temperature.

Figure 17.2 The Structure of Saturated Fatty Acids

(a) There is a zigzag pattern formed by the carbon-to-carbon single bonds in the ball-and-stick model of a palmitic acid molecule. (b) A space-filling model of palmitic acid shows the overall straightness of a saturated fatty acid molecule.

Waxes are esters formed from long-chain fatty acids and long-chain alcohols. Most natural waxes are mixtures of such esters. Plant waxes on the surfaces of leaves, stems, flowers, and fruits protect the plant from dehydration and invasion by harmful microorganisms. Carnauba wax, used extensively in floor waxes, automobile waxes, and furniture polish, is largely myricyl cerotate, obtained from the leaves of certain Brazilian palm trees. Animals also produce waxes that serve as protective coatings, keeping the surfaces of feathers, skin, and hair pliable and water repellent. In fact, if the waxy coating on the feathers of a water bird is dissolved as a result of the bird swimming in an oil slick, the feathers become wet and heavy, and the bird, unable to maintain its buoyancy, drowns.

Concept Review Exercises

  1. Give an example of each compound.

    1. saturated fatty acid
    2. polyunsaturated fatty acid
    3. monounsaturated fatty acid
  2. Why do unsaturated fatty acids have lower melting points than saturated fatty acids?

Answers

    1. stearic acid (answers will vary)
    2. linoleic acid (answers will vary)
    3. palmitoleic acid (answers will vary)
  1. Unsaturated fatty acids cannot pack as tightly together as saturated fatty acids due to the presence of the cis double bond that puts a “kink” or bend in the hydrocarbon chain.

Key Takeaways

  • Fatty acids are carboxylic acids that are the structural components of many lipids. They may be saturated or unsaturated.
  • Most fatty acids are unbranched and contain an even number of carbon atoms.
  • Unsaturated fatty acids have lower melting points than saturated fatty acids containing the same number of carbon atoms.

Exercises

  1. Classify each fatty acid as saturated or unsaturated and indicate the number of carbon atoms in each molecule.

    1. palmitoleic acid
    2. myristic acid
    3. linoleic acid
  2. Classify each fatty acid as saturated or unsaturated and indicate the number of carbon atoms in each molecule.

    1. stearic acid
    2. oleic acid
    3. palmitic acid
  3. Write the condensed structural formula for each fatty acid.

    1. lauric acid
    2. palmitoleic acid
    3. linoleic acid
  4. Write the condensed structural formulas for each fatty acid.

    1. oleic acid
    2. α-linolenic acid
    3. palmitic acid
  5. Arrange these fatty acids (all contain 18 carbon atoms) in order of increasing melting point. Justify your arrangement.

  6. Arrange these fatty acids (all contain 16 carbon atoms) in order of increasing melting point. Justify your arrangement.

    1. CH3(CH2)14COOH

Answers

    1. unsaturated; 16 carbon atoms
    2. saturated; 14 carbon atoms
    3. unsaturated; 18 carbon atoms
    1. CH3(CH2)10COOH
    2. CH3(CH2)5CH=CH(CH2)7COOH
    3. CH3(CH2)3(CH2CH=CH)2(CH2)7COOH
  1. c < a < b; an increase in the number of double bonds will lower the melting point because it is more difficult to closely pack the fatty acids together.

17.2 Fats and Oils

Learning Objectives

  1. Explain why fats and oils are referred to as triglycerides.
  2. Explain how the fatty acid composition of the triglycerides determines whether a substance is a fat or oil.
  3. Describe the importance of key reactions of triglycerides, such as hydrolysis, hydrogenation, and oxidation.

Fats and oils are the most abundant lipids in nature. They provide energy for living organisms, insulate body organs, and transport fat-soluble vitamins through the blood.

Structures of Fats and Oils

Fats and oils are called triglyceridesAn ester composed of three fatty acid units linked to glycerol and found in fats and oils. (or triacylcylgerols) because they are esters composed of three fatty acid units joined to glycerol, a trihydroxy alcohol:

If all three OH groups on the glycerol molecule are esterified with the same fatty acid, the resulting ester is called a simple triglyceride. Although simple triglycerides have been synthesized in the laboratory, they rarely occur in nature. Instead, a typical triglyceride obtained from naturally occurring fats and oils contains two or three different fatty acid components and is thus termed a mixed triglyceride.

A triglyceride is called a fatA compound composed of large hydrocarbon chains that supplies energy for the body. It is a triglyceride that is a solid at room temperature. if it is a solid at 25°C; it is called an oilA triglyceride that is a liquid at room temperature. if it is a liquid at that temperature. These differences in melting points reflect differences in the degree of unsaturation and number of carbon atoms in the constituent fatty acids. Triglycerides obtained from animal sources are usually solids, while those of plant origin are generally oils. Therefore, we commonly speak of animal fats and vegetable oils.

No single formula can be written to represent the naturally occurring fats and oils because they are highly complex mixtures of triglycerides in which many different fatty acids are represented. Table 17.2 "Average Fatty Acid Composition of Some Common Fats and Oils (%)*" shows the fatty acid compositions of some common fats and oils. The composition of any given fat or oil can vary depending on the plant or animal species it comes from as well as on dietetic and climatic factors. To cite just one example, lard from corn-fed hogs is more highly saturated than lard from peanut-fed hogs. Palmitic acid is the most abundant of the saturated fatty acids, while oleic acid is the most abundant unsaturated fatty acid.

Table 17.2 Average Fatty Acid Composition of Some Common Fats and Oils (%)*

Lauric Myristic Palmitic Stearic Oleic Linoleic Linolenic
Fats
butter (cow) 3 11 27 12 29 2 1
tallow 3 24 19 43 3 1
lard 2 26 14 44 10
Oils
canola oil 4 2 62 22 10
coconut oil 47 18 9 3 6 2
corn oil 11 2 28 58 1
olive oil 13 3 71 10 1
peanut oil 11 2 48 32
soybean oil 11 4 24 54 7
*Totals less than 100% indicate the presence of fatty acids with fewer than 12 carbon atoms or more than 18 carbon atoms.
Coconut oil is highly saturated. It contains an unusually high percentage of the low-melting C8, C10, and C12 saturated fatty acids.

Terms such as saturated fat or unsaturated oil are often used to describe the fats or oils obtained from foods. Saturated fats contain a high proportion of saturated fatty acids, while unsaturated oils contain a high proportion of unsaturated fatty acids. The high consumption of saturated fats is a factor, along with the high consumption of cholesterol, in increased risks of heart disease. (For more information about cholesterol, see Section 17.4 "Steroids".)

Physical Properties of Fats and Oils

Contrary to what you might expect, pure fats and oils are colorless, odorless, and tasteless. The characteristic colors, odors, and flavors that we associate with some of them are imparted by foreign substances that are lipid soluble and have been absorbed by these lipids. For example, the yellow color of butter is due to the presence of the pigment carotene; the taste of butter comes from two compounds—diacetyl and 3-hydroxy-2-butanone—produced by bacteria in the ripening cream from which the butter is made.

Fats and oils are lighter than water, having densities of about 0.8 g/cm3. They are poor conductors of heat and electricity and therefore serve as excellent insulators for the body, slowing the loss of heat through the skin.

Chemical Reactions of Fats and Oils

Fats and oils can participate in a variety of chemical reactions—for example, because triglycerides are esters, they can be hydrolyzed in the presence of an acid, a base, or specific enzymes known as lipases. The hydrolysis of fats and oils in the presence of a base is used to make soap and is called saponificationThe hydrolysis of fats and oils in the presence of a base to make soap.. Today most soaps are prepared through the hydrolysis of triglycerides (often from tallow, coconut oil, or both) using water under high pressure and temperature [700 lb/in2 (∼50 atm or 5,000 kPa) and 200°C]. Sodium carbonate or sodium hydroxide is then used to convert the fatty acids to their sodium salts (soap molecules):

Looking Closer: Soaps

Ordinary soap is a mixture of the sodium salts of various fatty acids, produced in one of the oldest organic syntheses practiced by humans (second only to the fermentation of sugars to produce ethyl alcohol). Both the Phoenicians (600 BCE) and the Romans made soap from animal fat and wood ash. Even so, the widespread production of soap did not begin until the 1700s. Soap was traditionally made by treating molten lard or tallow with a slight excess of alkali in large open vats. The mixture was heated, and steam was bubbled through it. After saponification was completed, the soap was precipitated from the mixture by the addition of sodium chloride (NaCl), removed by filtration, and washed several times with water. It was then dissolved in water and reprecipitated by the addition of more NaCl. The glycerol produced in the reaction was also recovered from the aqueous wash solutions.

Pumice or sand is added to produce scouring soap, while ingredients such as perfumes or dyes are added to produce fragrant, colored soaps. Blowing air through molten soap produces a floating soap. Soft soaps, made with potassium salts, are more expensive but produce a finer lather and are more soluble. They are used in liquid soaps, shampoos, and shaving creams.

Dirt and grime usually adhere to skin, clothing, and other surfaces by combining with body oils, cooking fats, lubricating greases, and similar substances that act like glues. Because these substances are not miscible in water, washing with water alone does little to remove them. Soap removes them, however, because soap molecules have a dual nature. One end, called the head, carries an ionic charge (a carboxylate anion) and therefore dissolves in water; the other end, the tail, has a hydrocarbon structure and dissolves in oils. The hydrocarbon tails dissolve in the soil; the ionic heads remain in the aqueous phase, and the soap breaks the oil into tiny soap-enclosed droplets called micelles, which disperse throughout the solution. (For more information about cell structure, see Section 17.3 "Membranes and Membrane Lipids".) The droplets repel each other because of their charged surfaces and do not coalesce. With the oil no longer “gluing” the dirt to the soiled surface (skin, cloth, dish), the soap-enclosed dirt can easily be rinsed away.

The double bonds in fats and oils can undergo hydrogenation and also oxidation. The hydrogenation of vegetable oils to produce semisolid fats is an important process in the food industry. Chemically, it is essentially identical to the catalytic hydrogenation reaction described for alkenes in Chapter 13 "Unsaturated and Aromatic Hydrocarbons", Section 13.4 "Chemical Properties of Alkenes".

In commercial processes, the number of double bonds that are hydrogenated is carefully controlled to produce fats with the desired consistency (soft and pliable). Inexpensive and abundant vegetable oils (canola, corn, soybean) are thus transformed into margarine and cooking fats. In the preparation of margarine, for example, partially hydrogenated oils are mixed with water, salt, and nonfat dry milk, along with flavoring agents, coloring agents, and vitamins A and D, which are added to approximate the look, taste, and nutrition of butter. (Preservatives and antioxidants are also added.) In most commercial peanut butter, the peanut oil has been partially hydrogenated to prevent it from separating out. Consumers could decrease the amount of saturated fat in their diet by using the original unprocessed oils on their foods, but most people would rather spread margarine on their toast than pour oil on it.

Many people have switched from butter to margarine or vegetable shortening because of concerns that saturated animal fats can raise blood cholesterol levels and result in clogged arteries. However, during the hydrogenation of vegetable oils, an isomerization reaction occurs that produces the trans fatty acids mentioned in the opening essay. However, studies have shown that trans fatty acids also raise cholesterol levels and increase the incidence of heart disease. Trans fatty acids do not have the bend in their structures, which occurs in cis fatty acids and thus pack closely together in the same way that the saturated fatty acids do. Consumers are now being advised to use polyunsaturated oils and soft or liquid margarine and reduce their total fat consumption to less than 30% of their total calorie intake each day.

Fats and oils that are in contact with moist air at room temperature eventually undergo oxidation and hydrolysis reactions that cause them to turn rancid, acquiring a characteristic disagreeable odor. One cause of the odor is the release of volatile fatty acids by hydrolysis of the ester bonds. Butter, for example, releases foul-smelling butyric, caprylic, and capric acids. Microorganisms present in the air furnish lipases that catalyze this process. Hydrolytic rancidity can easily be prevented by covering the fat or oil and keeping it in a refrigerator.

Another cause of volatile, odorous compounds is the oxidation of the unsaturated fatty acid components, particularly the readily oxidized structural unit

in polyunsaturated fatty acids, such as linoleic and linolenic acids. One particularly offensive product, formed by the oxidative cleavage of both double bonds in this unit, is a compound called malonaldehyde.

Rancidity is a major concern of the food industry, which is why food chemists are always seeking new and better antioxidantsA compound that prevents oxidation., substances added in very small amounts (0.001%–0.01%) to prevent oxidation and thus suppress rancidity. Antioxidants are compounds whose affinity for oxygen is greater than that of the lipids in the food; thus they function by preferentially depleting the supply of oxygen absorbed into the product. Because vitamin E has antioxidant properties, it helps reduce damage to lipids in the body, particularly to unsaturated fatty acids found in cell membrane lipids.

Concept Review Exercises

  1. What functions does fat serve in the body?

  2. Which of these triglycerides would you expect to find in higher amounts in oils? In fats? Justify your choice.

Answers

  1. Fats provide energy for living organisms. They also provide insulation for body organs and transport fat-soluble vitamins.

  2. The triglyceride on the left is expected to be present in higher amounts in fats because it is composed of a greater number of saturated fatty acids. The triglyceride on the right is expected to be present in higher amounts in oils because it is composed of a greater number of unsaturated fatty acids.

Key Takeaways

  • Fats and oils are composed of molecules known as triglycerides, which are esters composed of three fatty acid units linked to glycerol.
  • An increase in the percentage of shorter-chain fatty acids and/or unsaturated fatty acids lowers the melting point of a fat or oil.
  • The hydrolysis of fats and oils in the presence of a base makes soap and is known as saponification.
  • Double bonds present in unsaturated triglycerides can be hydrogenated to convert oils (liquid) into margarine (solid).
  • The oxidation of fatty acids can form compounds with disagreeable odors. This oxidation can be minimized by the addition of antioxidants.

Exercises

  1. Draw the structure for each compound.

    1. trimyristin
    2. a triglyceride likely to be found in peanut oil
  2. Draw the structure for each compound.

    1. tripalmitin
    2. a triglyceride likely to be found in butter
  3. Draw structures to write the reaction for the complete hydrogenation of tripalmitolein (see Table 17.1 "Some Common Fatty Acids Found in Natural Fats" for the condensed structure of palmitoleic acid). Name the product formed.

  4. Draw structures to write the reaction for the complete hydrogenation of trilinolein (see Table 17.1 "Some Common Fatty Acids Found in Natural Fats" for the condensed structure of linoleic acid). Name the product formed.

  5. Draw structures to write the reaction for the hydrolysis of trilaurin in a basic solution (see Table 17.1 "Some Common Fatty Acids Found in Natural Fats" for the condensed structure of lauric acid).

  6. Draw structures to write the reaction for the hydrolysis of tristearin in a basic solution (see Table 17.1 "Some Common Fatty Acids Found in Natural Fats" for the condensed structure of stearic acid).

  7.  

    1. What compounds with a disagreeable odor are formed when butter becomes rancid?
    2. How are these compounds formed?
    3. How can rancidity be prevented?
  8.  

    1. What compound with a disagreeable odor is formed when unsaturated fatty acids react with oxygen in the atmosphere?
    2. How can this process be prevented?

Answers

    1. smaller carboxylic acids, such as butyric, caprylic, and capric acids
    2. These compounds are formed by the hydrolysis of the triglycerides found in butter.
    3. Rancidity can be prevented by covering the butter (to keep out moisture) and storing it in a refrigerator. (Cold temperatures slow down hydrolysis reactions.)

17.3 Membranes and Membrane Lipids

Learning Objectives

  1. Identify the distinguishing characteristics of membrane lipids.
  2. Describe membrane components and how they are arranged.

All living cells are surrounded by a cell membrane. Plant cells (Figure 17.3 "An Idealized Plant Cell") and animal cells (Figure 17.4 "An Idealized Animal Cell") contain a cell nucleus that is also surrounded by a membrane and holds the genetic information for the cell. (For more information about genetics and DNA, see Chapter 19 "Nucleic Acids".) Everything between the cell membrane and the nuclear membrane—including intracellular fluids and various subcellular components such as the mitochondria and ribosomes—is called the cytoplasmEverything between the cell membrane and the nuclear membrane.. The membranes of all cells have a fundamentally similar structure, but membrane function varies tremendously from one organism to another and even from one cell to another within a single organism. This diversity arises mainly from the presence of different proteins and lipids in the membrane.

Figure 17.3 An Idealized Plant Cell

Not all the structures shown here occur in every type of plant cell.

Figure 17.4 An Idealized Animal Cell

The structures shown here will seldom all be found in a single animal cell.

The lipids in cell membranes are highly polar but have dual characteristics: part of the lipid is ionic and therefore dissolves in water, whereas the rest has a hydrocarbon structure and therefore dissolves in nonpolar substances. Often, the ionic part is referred to as hydrophilicHaving an affinity for water; “water loving.”, meaning “water loving,” and the nonpolar part as hydrophobicNot having an affinity for water; “water fearing.”, meaning “water fearing” (repelled by water). When allowed to float freely in water, polar lipids spontaneously cluster together in any one of three arrangements: micelles, monolayers, and bilayers (Figure 17.5 "Spontaneously Formed Polar Lipid Structures in Water: Monolayer, Micelle, and Bilayer"). MicellesAn aggregation in which a nonpolar tail is directed toward the center of the structure and the polar head is directed outward. are aggregations in which the lipids’ hydrocarbon tails—being hydrophobic—are directed toward the center of the assemblage and away from the surrounding water while the hydrophilic heads are directed outward, in contact with the water. Each micelle may contain thousands of lipid molecules. Polar lipids may also form a monolayer, a layer one molecule thick on the surface of the water. The polar heads face into water, and the nonpolar tails stick up into the air. BilayersA double layer of lipids arranged so that nonpolar tails are found between an inner surface and outer surface consisting of hydrophilic heads. are double layers of lipids arranged so that the hydrophobic tails are sandwiched between an inner surface and an outer surface consisting of hydrophilic heads. The hydrophilic heads are in contact with water on either side of the bilayer, whereas the tails, sequestered inside the bilayer, are prevented from having contact with the water. Bilayers like this make up every cell membrane (Figure 17.6 "Schematic Diagram of a Cell Membrane").

Figure 17.5 Spontaneously Formed Polar Lipid Structures in Water: Monolayer, Micelle, and Bilayer

Figure 17.6 Schematic Diagram of a Cell Membrane

The membrane enclosing a typical animal cell is a phospholipid bilayer with embedded cholesterol and protein molecules. Short oligosaccharide chains are attached to the outer surface.

In the bilayer interior, the hydrophobic tails (that is, the fatty acid portions of lipid molecules) interact by means of dispersion forces. The interactions are weakened by the presence of unsaturated fatty acids. As a result, the membrane components are free to mill about to some extent, and the membrane is described as fluid.

The lipids found in cell membranes can be categorized in various ways. PhospholipidsA lipid containing phosphorus. are lipids containing phosphorus. GlycolipidsA sugar-containing lipid. are sugar-containing lipids. The latter are found exclusively on the outer surface of the cell membrane, acting as distinguishing surface markers for the cell and thus serving in cellular recognition and cell-to-cell communication. SphingolipidsA lipid that contains the unsaturated amino alcohol sphingosine. are phospholipids or glycolipids that contain the unsaturated amino alcohol sphingosine rather than glycerol. Diagrammatic structures of representative membrane lipids are presented in Figure 17.7 "Component Structures of Some Important Membrane Lipids".

Figure 17.7 Component Structures of Some Important Membrane Lipids

Phosphoglycerides (also known as glycerophospholipids) are the most abundant phospholipids in cell membranes. They consist of a glycerol unit with fatty acids attached to the first two carbon atoms, while a phosphoric acid unit, esterified with an alcohol molecule (usually an amino alcohol, as in part (a) of Figure 17.8 "Phosphoglycerides") is attached to the third carbon atom of glycerol (part (b) of Figure 17.8 "Phosphoglycerides"). Notice that the phosphoglyceride molecule is identical to a triglyceride up to the phosphoric acid unit (part (b) of Figure 17.8 "Phosphoglycerides").

Figure 17.8 Phosphoglycerides

(a) Amino alcohols are commonly found in phosphoglycerides, which are evident in its structural formula (b).

There are two common types of phosphoglycerides. Phosphoglycerides containing ethanolamine as the amino alcohol are called phosphatidylethanolamines or cephalins. Cephalins are found in brain tissue and nerves and also have a role in blood clotting. Phosphoglycerides containing choline as the amino alcohol unit are called phosphatidylcholines or lecithins. Lecithins occur in all living organisms. Like cephalins, they are important constituents of nerve and brain tissue. Egg yolks are especially rich in lecithins. Commercial-grade lecithins isolated from soybeans are widely used in foods as emulsifying agents. An emulsifying agent is used to stabilize an emulsionA dispersion of two liquids that do not normally mix.—a dispersion of two liquids that do not normally mix, such as oil and water. Many foods are emulsions. Milk is an emulsion of butterfat in water. The emulsifying agent in milk is a protein called casein. Mayonnaise is an emulsion of salad oil in water, stabilized by lecithins present in egg yolk.

SphingomyelinsA sphingolipid that contains a fatty acid unit, a phosphoric acid unit, a sphingosine unit, and a choline unit., the simplest sphingolipids, each contain a fatty acid, a phosphoric acid, sphingosine, and choline (Figure 17.9 "Sphingolipids"). Because they contain phosphoric acid, they are also classified as phospholipids. Sphingomyelins are important constituents of the myelin sheath surrounding the axon of a nerve cell. Multiple sclerosis is one of several diseases resulting from damage to the myelin sheath.

Figure 17.9 Sphingolipids

(a) Sphingosine, an amino alcohol, is found in all sphingolipids. (b) A sphingomyelin is also known as a phospholipid, as evidenced by the phosphoric acid unit in its structure.

Most animal cells contain sphingolipids called cerebrosidesA sphingolipid that contains a fatty acid unit, a sphingosine unit, and galactose or glucose. (Figure 17.10 "Cerebrosides"). Cerebrosides are composed of sphingosine, a fatty acid, and galactose or glucose. They therefore resemble sphingomyelins but have a sugar unit in place of the choline phosphate group. Cerebrosides are important constituents of the membranes of nerve and brain cells.

Figure 17.10 Cerebrosides

Cerebrosides are sphingolipids that contain a sugar unit.

The sphingolipids called gangliosidesA sphingolipid that contains a fatty acid unit, a sphingosine unit, and a complex oligosaccharide. are more complex, usually containing a branched chain of three to eight monosaccharides and/or substituted sugars. Because of considerable variation in their sugar components, about 130 varieties of gangliosides have been identified. Most cell-to-cell recognition and communication processes (e.g., blood group antigens) depend on differences in the sequences of sugars in these compounds. Gangliosides are most prevalent in the outer membranes of nerve cells, although they also occur in smaller quantities in the outer membranes of most other cells. Because cerebrosides and gangliosides contain sugar groups, they are also classified as glycolipids.

Membrane Proteins

If membranes were composed only of lipids, very few ions or polar molecules could pass through their hydrophobic “sandwich filling” to enter or leave any cell. However, certain charged and polar species do cross the membrane, aided by proteins that move about in the lipid bilayer. The two major classes of proteins in the cell membrane are integral proteinsA protein that spans the lipids bilayer of membranes., which span the hydrophobic interior of the bilayer, and peripheral proteinsA protein that is more loosely associated with the membrane surface., which are more loosely associated with the surface of the lipid bilayer (Figure 17.6 "Schematic Diagram of a Cell Membrane"). Peripheral proteins may be attached to integral proteins, to the polar head groups of phospholipids, or to both by hydrogen bonding and electrostatic forces.

Small ions and molecules soluble in water enter and leave the cell by way of channels through the integral proteins. Some proteins, called carrier proteins, facilitate the passage of certain molecules, such as hormones and neurotransmitters, by specific interactions between the protein and the molecule being transported.

Concept Review Exercises

  1. Name the structural unit that must be present for a molecule to be classified as a

    1. phospholipid.
    2. glycolipid.
    3. sphingolipid.
  2. Why is it important that membrane lipids have dual character—part of the molecule is hydrophilic and part of the molecule is hydrophobic?

  3. Why do you suppose lecithins (phosphatidylcholines) are often added to processed foods such as hot cocoa mix?

Answers

    1. a phosphate group
    2. a saccharide unit (monosaccharide or more complex)
    3. sphingosine
  1. The dual character is critical for the formation of the lipid bilayer. The hydrophilic portions of the molecule are in contact with the aqueous environment of the cell, while the hydrophobic portion of the lipids is in the interior of the bilayer and provides a barrier to the passive diffusion of most molecules.

  2. Lecithin acts as an emulsifying agent that aids in the mixing of the hot cocoa mix with water and keeps the cocoa mix evenly distributed after stirring.

Key Takeaways

  • Lipids are important components of biological membranes. These lipids have dual characteristics: part of the molecule is hydrophilic, and part of the molecule is hydrophobic.
  • Membrane lipids may be classified as phospholipids, glycolipids, and/or sphingolipids.
  • Proteins are another important component of biological membranes. Integral proteins span the lipid bilayer, while peripheral proteins are more loosely associated with the surface of the membrane.

Exercises

  1. Classify each as a phospholipid, a glycolipid, and/or a sphingolipid. (Some lipids can be given more than one classification.)

  2. Classify each as a phospholipid, a glycolipid, and/or a sphingolipid. (Some lipids can be given more than one classification.)

  3. Draw the structure of the sphingomyelin that has lauric acid as its fatty acid and ethanolamine as its amino alcohol.

  4. Draw the structure of the cerebroside that has myristic acid as its fatty acid and galactose as its sugar.

  5.  

    1. Distinguish between an integral protein and a peripheral protein.
    2. What is one key function of integral proteins?

Answers

    1. phospholipid
    2. sphingolipid and glycolipid
    1. Integral proteins span the lipid bilayer, while peripheral proteins associate with the surfaces of the lipid bilayer.
    2. aid in the movement of charged and polar species across the membrane

17.4 Steroids

Learning Objective

  1. Identify the functions of steroids produced in mammals.

All the lipids discussed so far are saponifiable, reacting with aqueous alkali to yield simpler components, such as glycerol, fatty acids, amino alcohols, and sugars. (For more information about saponification, see Section 17.2 "Fats and Oils".) Lipid samples extracted from cellular material, however, also contain a small but important fraction that does not react with alkali. The most important nonsaponifiable lipids are the steroidsA lipid with a four-fused-ring structure.. These compounds include the bile salts, cholesterol and related compounds, and certain hormones (such as cortisone and the sex hormones).

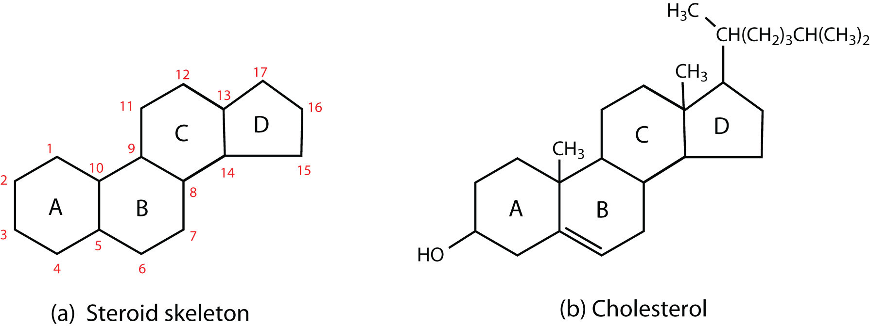
Figure 17.11 Steroids

(a) The four-fused-ring steroid skeleton uses letter designations for each ring and the numbering of the carbon atoms. (b) The cholesterol molecule follows this pattern.

Steroids occur in plants, animals, yeasts, and molds but not in bacteria. They may exist in free form or combined with fatty acids or carbohydrates. All steroids have a characteristic structural component consisting of four fused rings. Chemists identify the rings by capital letters and number the carbon atoms as shown in part (a) of Figure 17.11 "Steroids". Slight variations in this structure or in the atoms or groups attached to it produce profound differences in biological activity.

Cholesterol

CholesterolA steroid that is found in mammals. (part (b) of Figure 17.11 "Steroids") does not occur in plants, but it is the most abundant steroid in the human body (240 g is a typical amount). Excess cholesterol is believed to be a primary factor in the development of atherosclerosis and heart disease, which are major health problems in the United States today. About half of the body’s cholesterol is interspersed in the lipid bilayer of cell membranes (Figure 17.6 "Schematic Diagram of a Cell Membrane"). Much of the rest is converted to cholic acid, which is used in the formation of bile salts. Cholesterol is also a precursor in the synthesis of sex hormones, adrenal hormones, and vitamin D. Excess cholesterol not metabolized by the body is released from the liver and transported by the blood to the gallbladder. Normally, it stays in solution there until being secreted into the intestine (as a component of bile) to be eliminated. Sometimes, however, cholesterol in the gallbladder precipitates in the form of gallstones. Indeed, the name cholesterol is derived from the Greek chole, meaning “bile,” and stereos, meaning “solid.”

To Your Health: Cholesterol and Heart Disease

Heart disease is the leading cause of death in the United States for both men and women. The Centers for Disease Control and Prevention reported that heart disease claimed 631,636 lives in the United States (26% of all reported deaths) in 2006.

Scientists agree that elevated cholesterol levels in the blood, as well as high blood pressure, obesity, diabetes, and cigarette smoking, are associated with an increased risk of heart disease. A long-term investigation by the National Institutes of Health showed that among men ages 30 to 49, the incidence of heart disease was five times greater for those whose cholesterol levels were above 260 mg/100 mL of serum than for those with cholesterol levels of 200 mg/100 mL or less. The cholesterol content of blood varies considerably with age, diet, and sex. Young adults average about 170 mg of cholesterol per 100 mL of blood, whereas males at age 55 may have cholesterol levels at 250 mg/100 mL or higher because the rate of cholesterol breakdown decreases with age. Females tend to have lower blood cholesterol levels than males.

To understand the link between heart disease and cholesterol levels, it is important to understand how cholesterol and other lipids are transported in the body. Lipids, such as cholesterol, are not soluble in water and therefore cannot be transported in the blood (an aqueous medium) unless they are complexed with proteins that are soluble in water, forming assemblages called lipoproteins. Lipoproteins are classified according to their density, which is dependent on the relative amounts of protein and lipid they contain. Lipids are less dense than proteins, so lipoproteins containing a greater proportion of lipid are less dense than those containing a greater proportion of protein.

Research on cholesterol and its role in heart disease has focused on serum levels of low-density lipoproteins (LDLs) and high-density lipoproteins (HDLs). One of the most fascinating discoveries is that high levels of HDLs reduce a person’s risk of developing heart disease, whereas high levels of LDLs increase that risk. Thus the serum LDL:HDL ratio is a better predictor of heart disease risk than the overall level of serum cholesterol. Persons who, because of hereditary or dietary factors, have high LDL:HDL ratios in their blood have a higher incidence of heart disease.

How do HDLs reduce the risk of developing heart disease? No one knows for sure, but one role of HDLs appears to be the transport of excess cholesterol to the liver, where it can be metabolized. Therefore, HDLs aid in removing cholesterol from blood and from the smooth muscle cells of the arterial wall.

Dietary modifications and increased physical activity can help lower total cholesterol and improve the LDL:HDL ratio. The average American consumes about 600 mg of cholesterol from animal products each day and also synthesizes approximately 1 g of cholesterol each day, mostly in the liver. The amount of cholesterol synthesized is controlled by the cholesterol level in the blood; when the blood cholesterol level exceeds 150 mg/100 mL, the rate of cholesterol biosynthesis is halved. Hence, if cholesterol is present in the diet, a feedback mechanism suppresses its synthesis in the liver. However, the ratio of suppression is not a 1:1 ratio; the reduction in biosynthesis does not equal the amount of cholesterol ingested. Thus, dietary substitutions of unsaturated fat for saturated fat, as well as a reduction in consumption of trans fatty acids, is recommended to help lower serum cholesterol and the risk of heart disease.

Steroid Hormones

Hormones are chemical messengers that are released in one tissue and transported through the circulatory system to one or more other tissues. One group of hormones is known as steroid hormones because these hormones are synthesized from cholesterol, which is also a steroid. There are two main groups of steroid hormones: adrenocortical hormones and sex hormones.

The adrenocortical hormones, such as aldosterone and cortisol (Table 17.3 "Representative Steroid Hormones and Their Physiological Effects"), are produced by the adrenal gland, which is located adjacent to each kidney. Aldosterone acts on most cells in the body, but it is particularly effective at enhancing the rate of reabsorption of sodium ions in the kidney tubules and increasing the secretion of potassium ions and/or hydrogen ions by the tubules. Because the concentration of sodium ions is the major factor influencing water retention in tissues, aldosterone promotes water retention and reduces urine output. Cortisol regulates several key metabolic reactions (for example, increasing glucose production and mobilizing fatty acids and amino acids). It also inhibits the inflammatory response of tissue to injury or stress. Cortisol and its analogs are therefore used pharmacologically as immunosuppressants after transplant operations and in the treatment of severe skin allergies and autoimmune diseases, such as rheumatoid arthritis.

Table 17.3 Representative Steroid Hormones and Their Physiological Effects

Hormone Effect
regulates salt metabolism; stimulates kidneys to retain sodium and excrete potassium
stimulates the conversion of proteins to carbohydrates
regulates the menstrual cycle; maintains pregnancy
stimulates female sex characteristics; regulates changes during the menstrual cycle
stimulates and maintains male sex characteristics

The sex hormones are a class of steroid hormones secreted by the gonads (ovaries or testes), the placenta, and the adrenal glands. Testosterone and androstenedione are the primary male sex hormones, or androgens, controlling the primary sexual characteristics of males, or the development of the male genital organs and the continuous production of sperm. Androgens are also responsible for the development of secondary male characteristics, such as facial hair, deep voice, and muscle strength. Two kinds of sex hormones are of particular importance in females: progesterone, which prepares the uterus for pregnancy and prevents the further release of eggs from the ovaries during pregnancy, and the estrogens, which are mainly responsible for the development of female secondary sexual characteristics, such as breast development and increased deposition of fat tissue in the breasts, the buttocks, and the thighs. Both males and females produce androgens and estrogens, differing in the amounts of secreted hormones rather than in the presence or absence of one or the other.

Sex hormones, both natural and synthetic, are sometimes used therapeutically. For example, a woman who has had her ovaries removed may be given female hormones to compensate. Some of the earliest chemical compounds employed in cancer chemotherapy were sex hormones. For example, estrogens are one treatment option for prostate cancer because they block the release and activity of testosterone. Testosterone enhances prostate cancer growth. Sex hormones are also administered in preparation for sex-change operations, to promote the development of the proper secondary sexual characteristics. Oral contraceptives are synthetic derivatives of the female sex hormones; they work by preventing ovulation.

Bile Salts

BileThe yellowish green liquid produced in the liver. is a yellowish green liquid (pH 7.8–8.6) produced in the liver. The most important constituents of bile are bile salts, which are sodium salts of amidelike combinations of bile acids, such as cholic acid (part (a) of Figure 17.12 "Bile Acids") and an amine such as the amino acid glycine (part (b) of Figure 17.12 "Bile Acids"). They are synthesized from cholesterol in the liver, stored in the gallbladder, and then secreted in bile into the small intestine. In the gallbladder, the composition of bile gradually changes as water is absorbed and the other components become more concentrated.

Figure 17.12 Bile Acids

(a) Cholic acid is an example of a bile acid. (b) Sodium glycocholate is a bile salt synthesized from cholic acid and glycine.

Because they contain both hydrophobic and hydrophilic groups, bile salts are highly effective detergents and emulsifying agents; they break down large fat globules into smaller ones and keep those smaller globules suspended in the aqueous digestive environment. Enzymes can then hydrolyze fat molecules more efficiently. Thus, the major function of bile salts is to aid in the digestion of dietary lipids.

Note

Surgical removal is often advised for a gallbladder that becomes infected, inflamed, or perforated. This surgery does not seriously affect digestion because bile is still produced by the liver, but the liver’s bile is more dilute and its secretion into the small intestine is not as closely tied to the arrival of food.

Concept Review Exercises

  1. Distinguish between a saponifiable lipid and a nonsaponifiable lipid.

  2. Identify a key function for each steroid.

    1. bile salt
    2. cholesterol
    3. estradiol

Answers

  1. A saponifiable lipid reacts with aqueous alkali to yield simpler components, while a nonsaponifiable lipid does not react with alkali to yield simpler components.

    1. acts as an emulsifying agent to break down large fat globules and keep these globules suspended in the aqueous digestive environment
    2. a key component of mammalian cell membranes (answers will vary)
    3. stimulates female sex characteristics and regulates changes during the menstrual cycle

Key Takeaways

  • Steroids have a four-fused-ring structure and have a variety of functions.
  • Cholesterol is a steroid found in mammals that is needed for the formation of cell membranes, bile acids, and several hormones.
  • Bile salts are secreted into the small intestine to aid in the digestion of fats.

Exercises

  1. Which of these compounds are steroids—tripalmitin, cephalin, or cholesterol?

  2. Which of these compounds are steroids—vitamin D, cholic acid, or lecithin?

  3. Draw the basic steroid skeleton and label each ring with the appropriate letter designation.

  4. Identify each compound as an adrenocortical hormone, a female sex hormone, or a male sex hormone.

    1. progesterone
    2. aldosterone
    3. testosterone
    4. cortisol

Answers

  1. cholesterol

17.5 End-of-Chapter Material

Chapter Summary

To ensure that you understand the material in this chapter, you should review the meanings of the bold terms in the following summary and ask yourself how they relate to the topics in the chapter.

Lipids, found in the body tissues of all organisms, are compounds that are more soluble in organic solvents than in water. Many of them contain fatty acids, which are carboxylic acids that generally contain an even number of 4–20 carbon atoms in an unbranched chain. Saturated fatty acids have no carbon-to-carbon double bonds. Monounsaturated fatty acids have a single carbon-to-carbon double bond, while polyunsaturated fatty acids have more than one carbon-to-carbon double bond. Linoleic and linolenic acid are known as essential fatty acids because the human body cannot synthesize these polyunsaturated fatty acids. The lipids known as fats and oils are triacylglycerols, more commonly called triglycerides—esters composed of three fatty acids joined to the trihydroxy alcohol glycerol. Fats are triglycerides that are solid at room temperature, and oils are triglycerides that are liquid at room temperature. Fats are found mainly in animals, and oils found mainly in plants. Saturated triglycerides are those containing a higher proportion of saturated fatty acid chains (fewer carbon-to-carbon double bonds); unsaturated triglycerides contain a higher proportion of unsaturated fatty acid chains.

Saponification is the hydrolysis of a triglyceride in a basic solution to form glycerol and three carboxylate anions or soap molecules. Other important reactions are the hydrogenation and oxidation of double bonds in unsaturated fats and oils.

Phospholipids are lipids containing phosphorus. In phosphoglycerides, the phosphorus is joined to an amino alcohol unit. Some phosphoglycerides, like lecithins, are used to stabilize an emulsion—a dispersion of two liquids that do not normally mix, such as oil and water. Sphingolipids are lipids for which the precursor is the amino alcohol sphingosine, rather than glycerol. A glycolipid has a sugar substituted at one of the OH groups of either glycerol or sphingosine. All are highly polar lipids found in cell membranes.

Polar lipids have dual characteristics: one part of the molecule is ionic and dissolves in water; the rest has a hydrocarbon structure and dissolves in nonpolar substances. Often, the ionic part is referred to as hydrophilic (literally, “water loving”) and the nonpolar part as hydrophobic (“water fearing”). When placed in water, polar lipids disperse into any one of three arrangements: micelles, monolayers, and bilayers. Micelles are aggregations of molecules in which the hydrocarbon tails of the lipids, being hydrophobic, are directed inward (away from the surrounding water), and the hydrophilic heads that are directed outward into the water. Bilayers are double layers arranged so that the hydrophobic tails are sandwiched between the two layers of hydrophilic heads, which remain in contact with the water.

Every living cell is enclosed by a cell membrane composed of a lipid bilayer. In animal cells, the bilayer consists mainly of phospholipids, glycolipids, and the steroid cholesterol. Embedded in the bilayer are integral proteins, and peripheral proteins are loosely associated with the surface of the bilayer. Everything between the cell membrane and the membrane of the cell nucleus is called the cytoplasm.

Most lipids can be saponified, but some, such as steroids, cannot be saponified. The steroid cholesterol is found in animal cells but never in plant cells. It is a main component of all cell membranes and a precursor for hormones, vitamin D, and bile salts. Bile salts are the most important constituents of bile, which is a yellowish-green liquid secreted by the gallbladder into the small intestine and is needed for the proper digestion of lipids.

Additional Exercises

  1. The melting point of elaidic acid is 52°C.

    1. What trend is observed when comparing the melting points of elaidic acid, oleic acid, and stearic acid? Explain.
    2. Would you expect the melting point of palmitelaidic acid to be lower or higher than that of elaidic acid? Explain.

  2. Examine the labels on two brands of margarine and two brands of shortening and list the oils used in the various brands.

  3. Draw a typical lecithin molecule that incorporates glycerol, palmitic acid, oleic acid, phosphoric acid, and choline. Circle all the ester bonds.

  4. In cerebrosides, is the linkage between the fatty acid and sphingosine an amide bond or an ester bond? Justify your answer.

  5. Serine is an amino acid that has the following structure. Draw the structure for a phosphatidylserine that contains a palmitic acid and a palmitoleic acid unit.

  6. Explain whether each compound would be expected to diffuse through the lipid bilayer of a cell membrane.

    1. potassium chloride
    2. CH3CH2CH2CH2CH2CH3
    3. fructose
  7. Identify the role of each steroid hormone in the body.

    1. progesterone
    2. aldosterone
    3. testosterone
    4. cortisol
  8. How does the structure of cholic acid differ from that of cholesterol? Which compound would you expect to be more polar? Why?

  9.  

    1. What fatty acid is the precursor for the prostaglandins?
    2. Identify three biological effects of prostaglandins.
  10. Why is it important to determine the ratio of LDLs to HDLs, rather than just the concentration of serum cholesterol?

Answers

    1. Stearic acid has the highest melting point, followed by elaidic acid, and then oleic acid with the lowest melting point. Elaidic acid is a trans fatty acid, and the carbon chains can pack together almost as tightly as those of the saturated stearic acid. Oleic acid is a cis fatty acid, and the bend in the hydrocarbon chain keeps these carbon chains from packing as closely together; fewer interactions lead to a much lower melting point.
    2. The melting point of palmitelaidic acid should be lower than that of elaidic acid because it has a shorter carbon chain (16, as compared to 18 for elaidic acid). The shorter the carbon chain, the lower the melting point due to a decrease in intermolecular interactions.
    1. regulates the menstrual cycle and maintains pregnancy
    2. regulates salt metabolism by stimulating the kidneys to retain sodium and excrete potassium
    3. stimulates and maintains male sex characteristics
    4. stimulates the conversion of proteins to carbohydrates
    1. arachidonic acid
    2. induce smooth muscle contraction, lower blood pressure, and contribute to the inflammatory response